Home
About the Council
Agenda
Minutes
News
Documents
Archive
Brafferton Parish Council
Minutes (BPC Archive)
Helperby Parish Council
Minutes (HPC Archive)
Contact
Village Hall
Introduction
Privacy Policy
Clls (password)
Search input
Search
Home
About the Council
Agenda
Minutes
News
Documents
Archive
Brafferton Parish Council
Minutes (BPC Archive)
Helperby Parish Council
Minutes (HPC Archive)
Contact
Village Hall
Introduction
Privacy Policy
Clls (password)
Facebook
Twitter
Instagram
Youtube
Linkedin
Return to previous page
Home
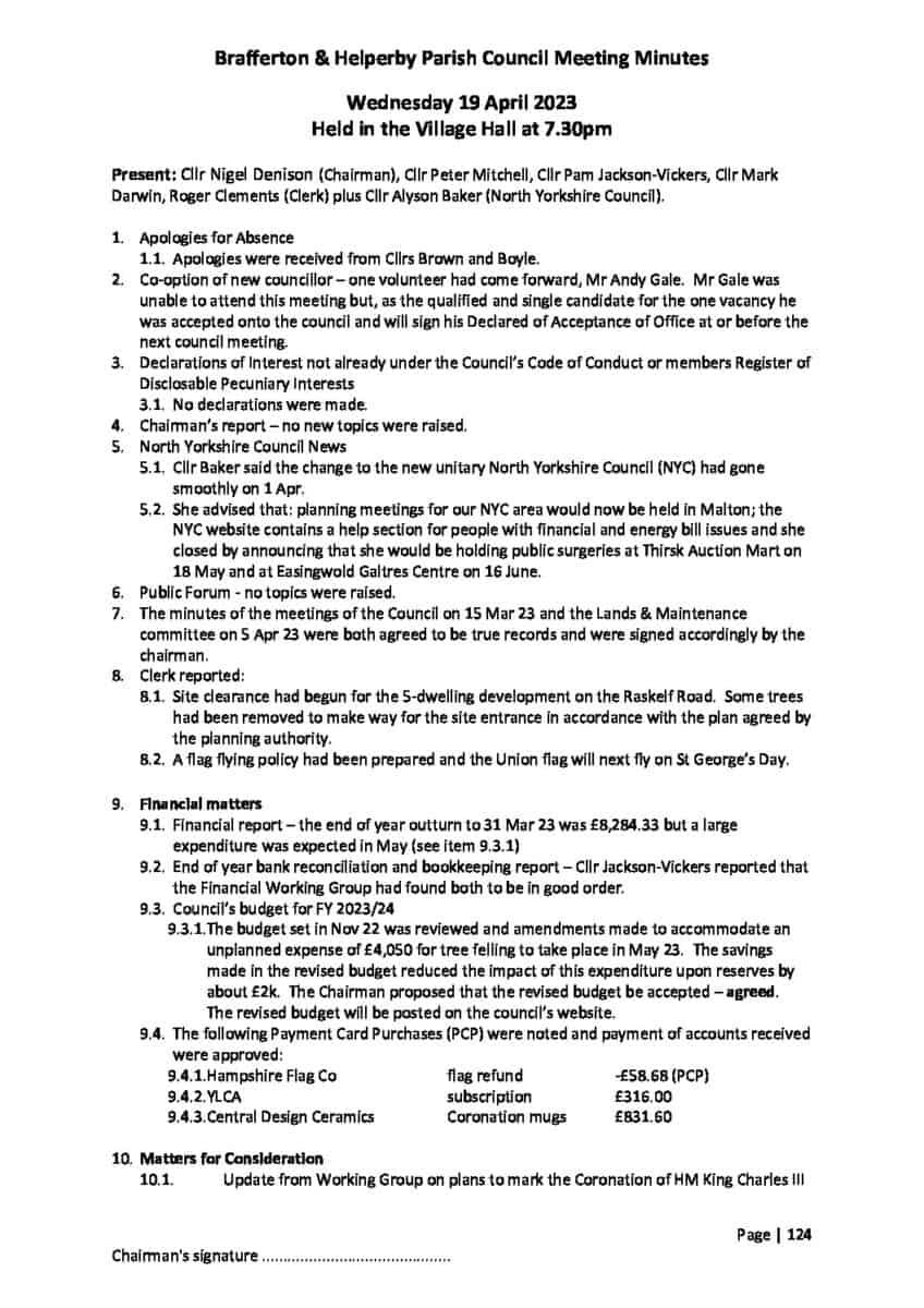
BHPC minutes meeting 19 Apr 23
BHPC minutes meeting 19 Apr 23
11th May 2023
/
0
Share Post
Skip to content
Open toolbar
Accessibility Tools
Accessibility Tools
Increase Text
Increase Text
Decrease Text
Decrease Text
Grayscale
Grayscale
High Contrast
High Contrast
Negative Contrast
Negative Contrast
Light Background
Light Background
Links Underline
Links Underline
Readable Font
Readable Font
Reset
Reset
This site uses cookies:
Find out more.
Okay, thanks